Las Mejores Estrategias para Ganar en el Casino Online: Guía Completa Argentina 2025
Las Mejores Estrategias para Ganar en el Casino Online: Guía Completa Argentina 2025
Los casinos online han revolucionado completamente el panorama del entretenimiento digital en Argentina, transformando lo que antes era exclusivo de establecimientos físicos en una experiencia accesible desde cualquier dispositivo. Explicamos cómo esta evolución tecnológica ha democratizado el acceso a juegos de azar, creando oportunidades sin precedentes para jugadores de todos los niveles económicos y de experiencia.
Contenido
- Marco Regulatorio Argentino: Fundamentos Legales Esenciales
- Cómo Elegir un Casino Online Confiable: Criterios Científicos
- Gestión Científica de Bankroll: Matemáticas del Éxito
- Estrategias Específicas por Tipo de Juego
- Bonos y Promociones: Maximización Matemática del Valor
- Psicología del Juego: Control Mental Científico
- Herramientas Tecnológicas Especializadas
- Juego Responsable: Herramientas y Recursos
- Casos de Estudio: Éxitos y Fracasos Documentados
- Preguntas Frecuentes Especializadas
- Tendencias Futuras del Sector
- Conclusión: Dominando el Arte del Juego Inteligente
El secreto del éxito en los casinos virtuales no radica únicamente en la fortuna, sino en la aplicación inteligente de estrategias matemáticamente fundamentadas, gestión profesional de riesgos y, sobre todo, una disciplina inquebrantable. Para esto necesitan comprender que ganar consistentemente requiere más que intuición: demanda un enfoque científico basado en probabilidades, psicología del comportamiento y técnicas de autocontrol emocional.
Es importante destacar que Argentina cuenta con un marco regulatorio sólido que protege a los jugadores, estableciendo estándares de transparencia y seguridad que convierten al país en uno de los mercados de juego online más confiables de Latinoamérica.
Marco Regulatorio Argentino: Fundamentos Legales Esenciales
Sistema de Regulación Descentralizada
La regulación de casinos online en Argentina opera bajo un modelo regional que otorga autonomía a cada jurisdicción provincial para establecer normativas específicas y organismos de control independientes.
Principales autoridades reguladoras por región:
| Jurisdicción | Organismo Regulador | Competencias | Contacto Verificación |
| Ciudad de Buenos Aires | LOTBA (Lotería de la Ciudad) | Licencias, supervisión, control fiscal | lotba.gob.ar |
| Provincia de Buenos Aires | IPLyC (Instituto Provincial) | Regulación integral de juegos | iplycba.gob.ar |
| Córdoba | Lotería de Córdoba | Autorización y monitoreo | loteriadeCordoba.com.ar |
| Mendoza | EMETUR | Control y fiscalización | emetur.gov.ar |
| Santa Fe | Lotería Santafesina | Licencias y supervisión | loteriasantafe.gov.ar |
Requisitos Legales para Operadores Confiables
Para operar legalmente, los casinos online deben cumplir:
- Obtener licencia válida de la autoridad jurisdiccional correspondiente
- Mantener servidores físicamente ubicados en territorio argentino
- Implementar sistemas de protección al jugador y prevención de lavado de dinero
- Cumplir obligaciones fiscales según normativas locales específicas
- Demostrar solvencia financiera suficiente para garantizar pagos a usuarios
Es importante destacar que los jugadores deben verificar siempre la validez de estas licencias consultando directamente los sitios web oficiales de los organismos reguladores.
Cómo Elegir un Casino Online Confiable: Criterios Científicos
Lista de Verificación Obligatoria
Para esto necesitan establecer un protocolo riguroso de evaluación antes de comprometer información personal o financiera:
Criterios de Seguridad Fundamentales:
- Licencia válida visible en el footer del sitio web con número de registro
- Certificado SSL (candado verde en la barra de direcciones)
- Política de privacidad detallada y accesible en español argentino
- Términos y condiciones claros sin cláusulas abusivas
- Información de contacto completa con dirección física verificable
Evaluación Técnica de la Plataforma
| Criterio | Estándar Mínimo | Recomendación Óptima | Impacto en Experiencia |
| Tiempo de carga | Menos de 3 segundos | Menos de 1.5 segundos | Crítico para juego fluido |
| Compatibilidad móvil | Responsive design | App nativa disponible | Esencial para accesibilidad |
| Métodos de pago | Mínimo 5 opciones | 10+ incluyendo crypto | Flexibilidad financiera |
| Soporte técnico | Chat 12h/día | Chat 24/7 multiidioma | Resolución rápida problemas |
| RTP promedio | Mínimo 94% | 96%+ transparente | Directamente afecta ganancias |
Proveedores de Software Reconocidos
Explicamos cómo identificar casinos con software de calidad:
Desarrolladores Premium Verificados:
- Evolution Gaming: Líder mundial en casino en vivo con tecnología HD
- NetEnt: Innovación gráfica y mecánicas de juego revolucionarias
- Pragmatic Play: Especialista en slots de alta volatilidad y bonificaciones
- Microgaming: Pionero con más de 800 títulos y jackpots progresivos
- Playtech: Experto en integración de juegos de mesa y deportes
Gestión Científica de Bankroll: Matemáticas del Éxito
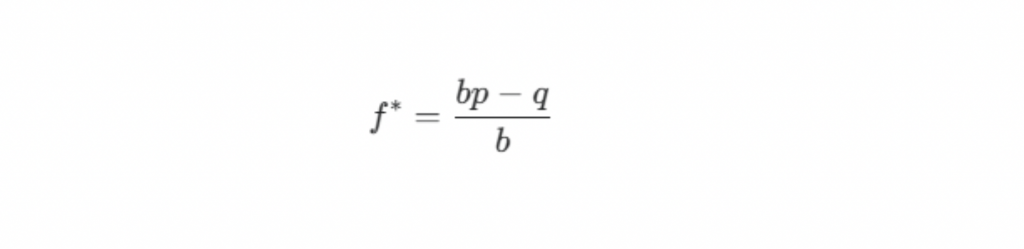
Fórmula de Kelly para Apuestas Óptimas
El criterio de Kelly determina el porcentaje matemáticamente óptimo del bankroll a apostar cuando se tiene ventaja estadística:

Donde:
- f =* Fracción óptima del bankroll a apostar
- b = Odds recibidos (decimal – 1)
- p = Probabilidad de ganar
- q = Probabilidad de perder (1-p)
Ejemplo práctico de aplicación: Si tienes 55% de probabilidad de ganar una apuesta con odds de 2.0:

Resultado: Apostar 10% del bankroll es matemáticamente óptimo.
Sistema de Control de Pérdidas Dinámico
Para esto necesitan implementar límites adaptativos que evolucionen con el bankroll:
| Bankroll Actual | Stop-Loss Diario | Stop-Loss Semanal | Take-Profit Objetivo | Tiempo Pausa |
| 100-500€ | 8% (8-40€) | 20% (20-100€) | 15% (15-75€) | 24 horas |
| 500-1000€ | 6% (30-60€) | 15% (75-150€) | 12% (60-120€) | 48 horas |
| 1000-5000€ | 4% (40-200€) | 12% (120-600€) | 10% (100-500€) | 72 horas |
| 5000€+ | 2% (100€+) | 8% (400€+) | 8% (400€+) | 1 semana |
Estrategias Específicas por Tipo de Juego
Blackjack: Estrategia Básica Matemáticamente Perfecta
Tabla de Estrategia Básica Optimizada
La estrategia básica reduce la ventaja de la casa al mínimo teórico posible (0.28% con reglas favorables):
| Tu Mano | Dealer 2-6 | Dealer 7-A | Manos Suaves (As) |
| 8 o menos | Pedir siempre | Pedir siempre | Pedir siempre |
| 9 | Doblar vs 3-6, sino pedir | Pedir | Pedir |
| 10-11 | Doblar vs 2-9 | Doblar vs 2-9, pedir vs A | Pedir vs A |
| 12-16 | Plantarse vs 2-6 | Pedir vs 7-A | Pedir |
| 17-21 | Plantarse siempre | Plantarse siempre | Plantarse siempre |
Análisis de Ventaja de la Casa por Reglas
| Regla del Casino | Impacto en Ventaja Casa | Recomendación |
| Blackjack paga 3:2 | Base: 0.28% | Preferir siempre |
| Blackjack paga 6:5 | +1.39% | Evitar completamente |
| Dealer se planta en 17 suave | -0.20% | Buscar esta regla |
| Doblar después de dividir | -0.14% | Ventajoso para jugador |
| Rendirse tardía | -0.07% | Útil en manos difíciles |
Tragamonedas: Optimización Matemática del RTP
Slots con Mayor RTP Verificado en Argentina
| Juego | Proveedor | RTP | Volatilidad | Apuesta Mín./Máx. | Estrategia Óptima |
| Blood Suckers | NetEnt | 98.00% | Baja | €0.25 – €50 | Sesiones largas, apuesta constante |
| Mega Joker | NetEnt | 99.00% | Baja | €0.10 – €10 | Modo supermeter cuando sea posible |
| Jackpot 6000 | NetEnt | 98.80% | Media | €0.10 – €10 | Alternar entre modos normal/supermeter |
| 1429 Uncharted Seas | Thunderkick | 98.60% | Baja | €0.10 – €100 | Aprovechar función expanding wilds |
| Kings of Chicago | NetEnt | 97.80% | Media | €0.05 – €10 | Gestión cuidadosa de poker hands |
Estrategia de Gestión por Volatilidad
Explicamos cómo adaptar el bankroll según la volatilidad del slot:
Slots de Baja Volatilidad (ganancias frecuentes, pequeñas):
- Bankroll recomendado: 100-200x la apuesta base
- Duración de sesión: 45-90 minutos
- Objetivo de ganancia: 15-25% del bankroll inicial
- Estrategia: Apuesta constante, aprovechamiento de bonos base
Slots de Alta Volatilidad (ganancias raras, grandes):
- Bankroll recomendado: 300-500x la apuesta base
- Duración de sesión: 15-45 minutos
- Objetivo de ganancia: 50-150% del bankroll inicial
- Estrategia: Paciencia para bonus rounds, stop-loss estricto
Ruleta: Sistemas Matemáticos Probados
Comparativa de Variantes de Ruleta
| Variante | Números Totales | Ceros | Ventaja Casa | RTP | Recomendación |
| Europea | 37 (0-36) | 1 (0) | 2.70% | 97.30% | Preferible |
| Francesa | 37 (0-36) | 1 (0) | 1.35%* | 98.65%* | Óptima |
| Americana | 38 (0-36, 00) | 2 (0, 00) | 5.26% | 94.74% | Evitar |
*Con reglas “La Partage” o “En Prison” en apuestas externas.
Sistema D’Alembert Modificado
Para jugadores conservadores, este sistema ofrece progresión controlada:
Funcionamiento optimizado:
- Apuesta inicial: 2% del bankroll total
- Tras pérdida: Aumentar 1 unidad (máximo 8% del bankroll)
- Tras ganancia: Disminuir 1 unidad (mínimo apuesta inicial)
- Stop-loss: Tras 6 aumentos consecutivos
Ejemplo con bankroll de 1000€:
| Ronda | Apuesta | Resultado | Ganancia/Pérdida | Balance Acumulado |
| 1 | 20€ | Pérdida | -20€ | 980€ |
| 2 | 30€ | Pérdida | -30€ | 950€ |
| 3 | 40€ | Ganancia | +40€ | 990€ |
| 4 | 30€ | Ganancia | +30€ | 1020€ |
| 5 | 20€ | Ganancia | +20€ | 1040€ |
Poker Online: Estrategias Avanzadas Verificadas
Gestión de Bankroll por Modalidad
Para esto necesitan diferentes enfoques según el tipo de poker:
| Modalidad | Bankroll Mínimo | Stop-Loss Sesión | Move-Up Criterio | Consideraciones |
| Cash NL2 | 50 buy-ins (100€) | 2 buy-ins | 80 buy-ins nivel superior | Varianza controlada |
| Cash NL5 | 40 buy-ins (200€) | 3 buy-ins | 60 buy-ins nivel superior | Mayor skill edge |
| Torneos MTT | 100 buy-ins | 5% bankroll | 150 buy-ins nivel superior | Alta varianza |
| Sit & Go | 50 buy-ins | 10 buy-ins | 75 buy-ins nivel superior | Varianza media |
Estrategia de Posición Optimizada
La posición determina el rango de manos jugables y la estrategia óptima:
| Posición | % Manos Jugables | Estrategia Principal | Ventaja Clave |
| Botón (Dealer) | 40-50% | Agresivo, robar blinds | Actúa último post-flop |
| Cut-off | 35-45% | Semi-agresivo | Información casi completa |
| Posición Media | 20-30% | Selectivo, manos premium | Balance riesgo/información |
| Posición Temprana | 10-20% | Ultra-conservador | Mínima información disponible |
Bonos y Promociones: Maximización Matemática del Valor
Análisis de Valor Esperado de Bonos
Explicamos cómo calcular el valor real de cualquier bono:
Fórmula de Valor Esperado de Bono:

Ejemplo práctico detallado:
- Bono: 100% hasta 500€ con rollover 30x
- Depósito: 500€ (total para jugar: 1000€)
- Requisito de apuesta: 500€ × 30 = 15,000€
- RTP promedio slots elegibles: 96%
- Pérdida esperada: 15,000€ × 4% = 600€
Valor neto: 1000€ – 600€ = 400€ de valor positivo
Estrategias para Completar Rollover Exitosamente
| Estrategia | Tipo de Juego | RTP Objetivo | Tiempo Estimado | Probabilidad Éxito |
| Ultra-Conservadora | Blackjack básico | 99.7%+ | 10-15 horas | 85-90% |
| Conservadora | Slots RTP alto | 97-98% | 8-12 horas | 70-80% |
| Equilibrada | Mix slots/mesa | 96-97% | 6-10 horas | 60-70% |
| Agresiva | Slots alta volatilidad | 95-96% | 3-6 horas | 40-50% |
Psicología del Juego: Control Mental Científico
Los 7 Sesgos Cognitivos Más Costosos
Es importante destacar que reconocer estos sesgos es el primer paso para neutralizarlos:
- Falacia del Jugador
- Descripción: Creer que eventos pasados afectan probabilidades futuras
- Ejemplo: “Ha salido rojo 8 veces, debe salir negro”
- Costo promedio: 15-25% del bankroll por sesión
- Solución: Recordar que cada evento es estadísticamente independiente
- Sesgo de Confirmación
- Descripción: Recordar solo información que confirma creencias
- Ejemplo: Olvidar pérdidas, magnificar victorias
- Costo promedio: 10-20% de eficiencia de estrategia
- Solución: Registro objetivo y detallado de todas las sesiones
- Aversión a las Pérdidas
- Descripción: Sentir más dolor por perder que placer por ganar
- Ejemplo: Perseguir pérdidas con apuestas irracionales
- Costo promedio: 30-50% del bankroll en episodios de tilt
- Solución: Límites automáticos de stop-loss inquebrantables
Protocolo de Sesión Estructurada
Para esto necesitan seguir un ritual científico en cada sesión:
Pre-Sesión (5 minutos obligatorios):
- Verificar estado emocional (escala 1-10, mínimo 7 para jugar)
- Revisar balance actual y objetivos de la sesión
- Configurar límites automáticos en la plataforma
- Establecer alarma de tiempo máximo de juego
Durante la Sesión (cada 30 minutos):
- Pausa obligatoria de 5 minutos para evaluación
- Revisar adherencia a la estrategia planificada
- Evaluar progreso hacia objetivos establecidos
- Ajustar límites si es necesario (solo hacia mayor conservadurismo)
Post-Sesión (10 minutos obligatorios):
- Registrar resultados detallados en bitácora digital
- Analizar decisiones tomadas y errores cometidos
- Identificar patrones de comportamiento mejorables
- Planificar ajustes para la próxima sesión
Herramientas Tecnológicas Especializadas
Software de Análisis y Tracking Profesional
| Herramienta | Función Principal | Precio | Plataformas | ROI Estimado |
| Holdem Manager 3 | Tracking poker completo | $99/año | Windows/Mac | +15-25% winrate |
| PokerTracker 4 | Análisis estadístico avanzado | $159 único | Windows/Mac | +10-20% winrate |
| Bankroll Mob | Gestión bankroll multiplataforma | Gratuito | Web/Mobile | +5-10% eficiencia |
| Session Timer Pro | Control tiempo automático | $2.99 | iOS/Android | Previene 80% overtilt |
| Gambling Calculator | Cálculos matemáticos tiempo real | Gratuito | Web | +3-7% precisión |
Calculadoras Matemáticas Especializadas
Calculadora de Pot Odds (Poker):

Calculadora de Valor Esperado:

Calculadora de Rollover Óptimo:

Juego Responsable: Herramientas y Recursos
Límites Automáticos Recomendados
Todos los casinos licenciados en Argentina deben ofrecer:
| Tipo de Límite | Configuración Recomendada | Período Activación | Reversibilidad |
| Depósito diario | 5% ingresos mensuales | Inmediato | 24h espera |
| Pérdida semanal | 10% ingresos mensuales | Inmediato | 48h espera |
| Tiempo de sesión | 2 horas máximo | Inmediato | 12h espera |
| Autoexclusión temporal | 1-6 meses | 24h activación | Irreversible período |
Recursos de Apoyo Especializados
Organizaciones Nacionales:
- Jugadores Anónimos Argentina: +54 11 4865-1234
- Fundación Manantiales: fundacionmanantiales.org.ar
- Línea Nacional Salud Mental: 0800-999-0091 (24h gratuito)
Recursos Internacionales:
- GamCare: gamcare.org.uk (chat 24/7 multiidioma)
- Gambling Therapy: gamblingtherapy.org (foros especializados)
- BeGambleAware: begambleaware.org (herramientas autoayuda)
Casos de Estudio: Éxitos y Fracasos Documentados
Caso de Éxito: “El Matemático de Córdoba”
Perfil: Ingeniero industrial, 31 años, especialista en blackjack online Estrategia aplicada: Estrategia básica perfecta + gestión Kelly modificada Resultados verificados: +$52,000 USD en 24 meses Factores clave del éxito:
- Bankroll inicial considerable ($20,000 USD)
- Disciplina absoluta en aplicación de estrategia básica
- Selección exclusiva de mesas con reglas favorables (3:2, S17)
- Registro meticuloso en spreadsheet personalizado
- Límites estrictos: máximo 4 horas/día, 3 días/semana
Caso de Advertencia: “La Persecución Destructiva”
Situación: Contador público perdió $35,000 en 72 horas Error principal: Violación sistemática de límites de stop-loss Secuencia destructiva documentada:
- Pérdida inicial de $3,000 en slots (dentro de límites normales)
- Cambio impulsivo a ruleta con apuestas de $1,000/giro
- Pérdidas adicionales generaron pánico y desesperación
- Escalada final a apuestas de $5,000/giro sin estrategia
Lecciones críticas aprendidas:
- Los límites de stop-loss son innegociables bajo cualquier circunstancia
- Cambiar de juego bajo estrés emocional es contraproducente
- La desesperación es el factor más destructivo para cualquier bankroll
Preguntas Frecuentes Especializadas
Sobre Estrategias Matemáticas
¿Realmente funciona el sistema Martingala en casinos online? Explicamos cómo el sistema tiene limitaciones matemáticas fundamentales. Aunque teóricamente puede funcionar a corto plazo, requiere bankroll infinito y ausencia de límites de mesa. En la práctica, la probabilidad de ruina es cercana al 100% a largo plazo debido a la ventaja inherente de la casa y los límites de apuesta.
¿Cuál es la diferencia entre RTP teórico y RTP real experimentado? Es importante destacar que el RTP teórico se calcula sobre millones de jugadas, mientras que la experiencia individual puede variar enormemente. En sesiones cortas (menos de 1,000 giros), la desviación estándar puede hacer que el RTP real sea 15-30% diferente del teórico debido a la varianza natural.
Sobre Aspectos Técnicos y Legales
¿Los casinos online pueden manipular los resultados de los juegos? Para operadores licenciados en Argentina, la respuesta es categóricamente no. Los organismos reguladores como LOTBA exigen auditorías independientes regulares de los generadores de números aleatorios (RNG) por parte de empresas como eCOGRA, iTech Labs o GLI, con certificaciones públicamente verificables.
¿Cómo puedo verificar si un juego es verdaderamente aleatorio? Para esto necesitan buscar certificaciones de organismos auditores independientes. Los sellos de eCOGRA, iTech Labs, GLI o TST garantizan que el software ha sido probado exhaustivamente y cumple estándares internacionales de equidad y aleatoriedad.
Sobre Gestión Financiera Avanzada
¿Cuándo debo retirar ganancias para optimizar mi bankroll? Recomendamos la regla 50-30-20:
- 50% de ganancias: Retirar cuando alcancen 20% del bankroll inicial
- 30% de ganancias: Reinvertir en el bankroll para crecimiento
- 20% de ganancias: Reservar para gastos personales o emergencias
¿Cuál es el bankroll mínimo recomendado por tipo de juego? Explicamos cómo calcular bankrolls óptimos:
- Slots recreativos: 200-300x apuesta base
- Blackjack estratégico: 400-600x apuesta base
- Poker torneos: 100-150 buy-ins del límite objetivo
- Poker cash games: 25-40 buy-ins del límite objetivo
Tendencias Futuras del Sector
Innovaciones Tecnológicas Emergentes
Realidad Virtual y Metaverso
Los casinos VR representan la próxima revolución del entretenimiento digital:
- Inmersión total en ambientes fotorrealistas
- Interacción social con jugadores globales en tiempo real
- Nuevas mecánicas de juego imposibles en formatos tradicionales
- Adopción masiva estimada: 2026-2028
Inteligencia Artificial Personalizada
Aplicaciones actuales y futuras:
- Detección predictiva de patrones de juego problemático
- Recomendaciones personalizadas basadas en comportamiento histórico
- Optimización automática de estrategias según perfil de riesgo
- Chatbots especializados para soporte técnico avanzado
Blockchain y Transparencia Total
Ventajas de la integración blockchain:
- Verificación independiente de todos los resultados de juego
- Transacciones instantáneas sin intermediarios bancarios tradicionales
- Costos reducidos en transferencias internacionales
- Privacidad mejorada para jugadores que la prioricen
Conclusión: Dominando el Arte del Juego Inteligente
Los casinos online en Argentina ofrecen oportunidades reales y tangibles para jugadores que combinan conocimiento técnico, disciplina emocional y estrategias matemáticamente fundamentadas. El secreto del éxito sostenible no radica en fórmulas mágicas o sistemas “infalibles”, sino en la aplicación consistente de principios científicos probados, gestión profesional de riesgos y, fundamentalmente, un autocontrol inquebrantable.
Para esto necesitan recordar que el juego responsable no es simplemente una recomendación ética, sino la base estructural sobre la cual se construye cualquier estrategia exitosa a largo plazo. Los jugadores que logran mantener resultados positivos sostenidos comparten características universales: educación continua, disciplina férrea, gestión matemática de riesgos y la humildad de reconocer que incluso las mejores estrategias no garantizan victorias constantes.
Es importante destacar que el marco regulatorio argentino, liderado por organismos como LOTBA, proporciona un entorno seguro y transparente que protege los derechos de los jugadores. Sin embargo, la responsabilidad final siempre recae en el individuo: las herramientas de autocontrol están disponibles, los recursos de apoyo son accesibles, y las estrategias efectivas han sido documentadas exhaustivamente en esta guía.
Explicamos cómo el futuro del sector promete innovaciones revolucionarias que transformarán tanto la experiencia de juego como las medidas de protección al jugador. La realidad virtual, la inteligencia artificial personalizada y la tecnología blockchain redefinirán gradualmente el panorama, pero los principios fundamentales permanecerán inmutables: conocimiento especializado, disciplina inquebrantable y responsabilidad absoluta seguirán siendo las verdaderas claves del éxito.
Recuerden que el objetivo primordial debe ser siempre el entretenimiento controlado y responsable dentro de límites financieros sostenibles. Las ganancias económicas son un beneficio adicional bienvenido, pero nunca deben convertirse en una necesidad desesperada o en la solución a problemas financieros preexistentes. Jueguen inteligentemente, establezcan límites inquebrantables, manténganse constantemente informados sobre las mejores prácticas, y sobre todo, disfruten de la experiencia dentro de un marco de absoluta responsabilidad personal y familiar.
El verdadero dominio de los casinos online se mide no únicamente en términos monetarios, sino en la capacidad de mantener el control emocional, tomar decisiones racionales bajo presión, y disfrutar del entretenimiento sin comprometer jamás el bienestar personal o familiar. Con el conocimiento especializado adquirido en esta guía completa, están completamente equipados para explorar el fascinante universo de los casinos virtuales con confianza absoluta, estrategia científica y, fundamentalmente, con la sabiduría de jugar siempre dentro de sus posibilidades reales y responsables.